常見問題集 - 當要採購高精度電流傳感器時
1. 我能測量毫安培 (mA) 範圍的電流嗎?
一般來說,Danisense的高精度電流感測器也可以量測非常低的電流。準確度規格請參考產品規格書。

也可以計算非常小電流下的總誤差。DS50UB-10V 的整體準確度如下所示。

若在測量裝置(如電力分析儀或六位半電錶)中補償電流感測器的直流偏移(offset),便能達到最高的可能精確度。虛線表示未經直流偏移補償的精確度。對於此電流感測器,在2.5mA的一次電流(IPN直流電流的0.005%)下,精確度為+-2%。
以下您可以看到目前生產中DS50UB-10V未經直流偏移補償的測試值。這些精確度只有在具備濾波功能的專業測量裝置中才能實現。透過這種方式,可以盡可能地消除雜訊訊號。

特別是,如果主線多次纏繞在電流傳感器上,快速的電壓變化可能會耦合到電流互感器中。(手冊第 18 頁)
應採取以下措施來最大程度地減少這些不良影響。
-
確保繞傳感器的繞組均勻分佈(平衡)。
-
確保繞傳感器的線圈不要太緊。
-
如果可能,請在設置的「冷端」(回流導體)上進行測量。
-
將傳感器的鋁製外殼接地(首先移除外殼安裝支架上的油漆,手冊第 18 頁)。
-
使用接地的金屬管穿過傳感器的孔徑,並將繞組置於此管內,以屏蔽傳感器的電子元件。
3. 在什麼初級電流下,電流感測器可能會損壞?
讓我們以 DS50ID 電流感測器為例,在規格書中可以找到以下資訊。

下圖顯示了與一次側電流相關的個別數據。 電流感測器可以在綠色範圍內操作。無論持續時間長短,高於過載容量 (IOL) 的一次側電流都可能損壞電流感測器。若非有先進感測器保護電路 (ASPC),在 100 毫秒到 ~1 秒的時間間隔內,介於 150 安培和 1500 安培之間的一次側電流也可能損壞感測器。 有關此保護方法的特性,請參閱使用手冊中的“4.9 先進感測器保護電路 (ASPC)”一章。在 ~1 秒以上的時間間隔內,介於最低 75 安培(取決於負載和電纜電阻值、電源電壓、環境溫度等)和 1500 安培之間的一次側電流會驅使電流感測器進入飽和狀態並啟動 ASPC。 有關更多資訊,請參閱使用手冊中的“4.3 飽和行為”和“4.9 先進感測器保護電路 (ASPC)”章節。

4 - 1V 與 10V 電壓輸出模組 (VOM) 之間有差異嗎?
1V 模組是純被動式的,使用測量電阻。另一方面,10V 模組則具有主動放大器電路。因此,1V 模組沒有偏移誤差,在這方面可以歸類為更準確,其比例誤差也略小於 10V 模組。此數據顯示在 DSSIU-6-1U-V 的規格書中。
https://danisense.com/products/dssiu-6-1u-v/datasheet/
然而,電磁干擾以及所選量測儀器中較差的訊號雜訊比可能會抵銷此優勢。因此,客戶需要自行權衡 1V 和 10V 輸出模組的優缺點。

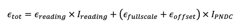
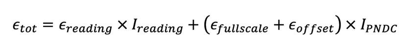
5 - 傳感器的精確度如何計算?
用於計算目前感測器精準度的所有數據都可在規格書中找到。 下列計算範例為 DS200UB-10V
如果您有一個混合訊號,則應針對每個頻率分量計算精準度。 在此範例中,我們將計算直流訊號的精準度。 因此,我們使用規格書中指定低於 10 Hz (<10 Hz) 的頻率的精準度數據。 總比率誤差可以透過以下方程式計算。

該公式在規格書的第 3 頁提及。如果我們現在計算 10 A 振幅的精準度,公式如下:

如果您測量 10 A 初級電流,並且您的量測儀器已考量目前感測器的轉換比率,

您將獲得一個二次電壓:

如果您擁有一個沒有任何振幅誤差的理想電流感測器。 但我們已經計算出一個 . 這表示您的測量設備顯示的電壓介於以下計算值之間。

在 10 A 的瞬時值下的百分比振幅誤差可以如下計算。

比例誤差可以透過補償偏移誤差來降低。
現在可以針對任何一次側電流計算比例誤差,即使是非常小的值也可以。 請注意,比例誤差在較小的一次側電流下會增加。
相移在規格書中針對低於 10 Hz 的頻率成分指定為 0.01 °。
以圖形表示,會得到以下圖表。

6 - DS50UB-10V 能夠偵測到的最小電流變化是多少?
這取決於您的類比數位轉換器 (ADC) 的解析度 m (以位元為單位)。這決定了步階數 M,其可以使用
計算得出 . 一個步階(最低有效位元 – LSB)的值是 ADC 相對於其類比輸出範圍的理論解析度的參數。
舉例來說,假設 DS50UB-10V 的訊號輸入測量範圍指定為
.

如果現在有 +50 A 的直流電流流經 DS50UB-10V,這將在電流傳感器的次級側產生 10 V 的電壓。轉換比率定義為 V/A = 1/5。一般而言,使用更高解析度的 ADC 會增加對低噪聲元件、屏蔽和接地概念的要求。
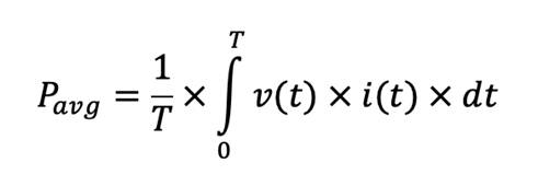
7 - 我的功率分析儀的截止頻率是什麼意思?
功率分析儀通常使用以下基本公式來計算有功功率。

因此,電壓 v(t) 和電流 i(t) 的數位化瞬時值會相乘在一起,並在定義的時間範圍內將結果加總。基本上,會考量直流成分、所有諧波和非諧波成分,直至功率分析儀的頻寬限制或濾波器截止頻率。
功率分析儀的截止頻率是用於測量信號的通帶和阻帶之間的邊界頻率,這些信號施加到輸入通道。通帶包含濾波器允許通過的頻率範圍(最小衰減),而阻帶包含濾波器拒絕的頻率範圍(高衰減)。截止頻率有時被視為濾波器響應中通帶和過渡帶的交匯點,例如,定義為濾波器的輸出電平下降/上升 50%(即 ±3 dB,因為下降/上升 3 dB 大約對應於一半的功率)的點,假設輸入電平恆定。它也常常被稱為半功率或 ±3 dB 頻率。

濾波器的阻帶本質上是濾波器拒絕的頻率帶。它被認為是從濾波器達到其所需抑制水平的點開始。
測量通道的輸入信號在截止頻率處被衰減 -3 dB。高於此截止頻率的所有頻率成分或雜訊信號都會被衰減。
由於低通濾波器會產生時間延遲,因此所有交互通道應具有相同的濾波器特性。否則,測量設備的內部軟體必須補償不同類型濾波器的額外時間延遲。
8 - 我的測量儀器輸入通道有50 ohm和1 Mohm兩種阻抗可選。我應該選擇哪一個值?
如果連接電纜上可能發生反射,則測量通道需要一個 50 歐姆的電阻,該電阻等於同軸電纜的特性阻抗,例如測量高頻訊號或陡峭邊緣的脈衝時。
如果電纜的一端或兩端沒有這種終端阻抗,反射波會在電纜中來回多次傳播。 測量訊號可能會因此受到嚴重扭曲。
通常建議對電壓訊號使用 1 兆歐姆以上的高阻抗輸入。 流經測量設備中高阻抗電阻器的不必要電流會保持在非常低的水平,從而減少對我們指定精度的負面影響。
9 - 電磁干擾場如何影響我的測量?
如今,開關電源等非線性負載不僅會導致電網中的諧波失真,而且通常也是電磁輻射的來源。 例如,繞組元件會產生磁漏磁場,而具有高脈衝電壓的導體會產生電場。 這些場會耦合到電流感測器中。 示波器可用於記錄這些振盪。
在未連接電源且外殼未接地的 DS50UB-10V 上,可透過 BNC 連接器檢測到大約 44 MHz 的振盪。 這種振盪相當於大約 20 mA 的峰峰值初級電流。
干擾超出了電流互感器 500 kHz 的指定頻寬。 單位數 MHz 範圍內的低通濾波器可以顯著減少這種干擾。

10 - 電流感測器的輸出訊號有干擾,這些干擾從何而來?
在實驗室設置中,通常都會使用電源供應器。除了筆記型電腦外,像是示波器等量測設備也需要電源供應器,將交流電轉換為直流電。為了讓內部的變壓器盡可能縮小,市電電壓會被反轉為高頻。這會產生電磁輻射,例如,可以使用短路的示波器探棒來定性地檢測到這種輻射。
這種輻射可能會穿過電流感測器的內孔,因此可以在二次訊號中被偵測到。
在上面的圖片中可以看到一個約為 3.33 MHz 的振盪。電流感測器在輸出端沒有低通濾波器,因此這些訊號通常不會被衰減。對於示波器應用,建議使用可以過濾輸入訊號的示波器,以最大限度地減少高頻干擾。

11 - 電流感測器的電子元件的供電電流中存在漣波。
是的,沒錯。 通常可以在數據表中看到電流感測器的激勵頻率。 例如,對於 DS50UB-10V,激勵頻率指定為 31.25 kHz。 這種振盪是直流供電電流的一部分。
12 - 與回流導體或相鄰導體的最小距離是多少?
外半徑 – 內半徑 = 從電流感測器的外殼到回流導體或相鄰導體的距離。 由於我們的電流感測器的特殊磁芯設計,負責檢測直流電流的磁通閘元件受到電磁場的屏蔽。 改變與回流導體的距離會影響 ppm 範圍內的精度。 回流導體最好保持大約 3 倍的外半徑距離。 但當然,增加與回流導體或其他潛在干擾源的距離總是好的。
15 - 電壓輸出模組 (VOM) 是否可以指示一次側過電流?
電壓輸出模組 (VOM) 可以提供高精度輸出信號,最高可達 12 V。 如果標稱一次電流與 10 V 輸出電壓相關,則可以測量高達標稱一次電流的 120% 的過電流。 但是,安裝在 DSSIU-6-1U-V 上的帶電流輸出的電流感測器必須針對此過電流進行指定。 1 V 模組僅包含一個被動分流器。 輸出電壓將根據帶電流輸出的電流感測器的規格,隨一次電流變化。
16 - DCCT 的外殼和 DSUB 連接電纜的電纜屏蔽是否連接到電力接地?
- DQ、DS、DL、DM、DL 系列:電流感測器的外殼由鋁製成,因此可以防止不需要的高頻干擾。 如果電流感測器通過 Danisense DSUB 電纜連接到 DaniSense 系統介面單元 (DSSIU),則外殼和電纜屏蔽將電氣連接到供電網路的接地。
- DT 系列:外殼由塑膠和鋁製成。 感測器頭被銅箔包裹,銅箔也通過 DSUB 連接電纜連接到 DSUB 電纜的屏蔽層。 電纜屏蔽層通過 DSSIU 連接到網路接地。
- DR 系列:感測器頭被銅箔包裹,銅箔連接到電纜屏蔽層。 電纜屏蔽層在電子控制箱內連接到供電網路的接地。
17 - Danisense 電流互感器的阻抗是否會影響一次側電路?
即使在 ~9-10kHz 的有效範圍之上,感測器本身的電感對整個一次側電路的影響也不大。 客戶可能會遇到來自一次側電纜的更大的電感。 理由如下: 超出有效範圍運行的 DCCT 將充當電流互感器,儘管不是完全零磁通,但只要二次側補償安匝數存在平衡一次側安匝數的路徑,實際的磁通量水平就非常低。 我們在 DCCT 中使用高導磁率的無氣隙磁芯,因此它不像繞在具有分散氣隙的粉末磁芯上或具有有意氣隙以儲存一些磁能的鐵氧體的電感器。 如果使用多個一次繞組在各自的設置中增加一次電流,則客戶可以通過將 Danisense CT 周圍的一次繞組計算為空心線圈來確定電感。
20 - 為什麼測量設備輸入通道的頻寬應該限制在所選電流感測器的指定頻寬內?
在許多情況下,電流感測器的指定頻寬低於測量設備的頻寬。傳輸到二次側、且高於電流感測器指定頻寬的信號成分可能會被顯著放大或衰減。電流互感器的頻寬並非由具有相應截止頻率的低通濾波器所限制。

在許多情況下,電流感測器的指定頻寬低於測量設備的頻寬。傳輸到二次側、且高於電流感測器指定頻寬的信號成分可能會被顯著放大或衰減。電流互感器的頻寬並非由具有相應截止頻率的低通濾波器所限制。

初級信號中的干擾信號或更高頻率的成分可能會在電流感測器的指定頻寬和截止頻率之間的範圍內被電流感測器放大或衰減,這可能會偽造測量值。
21 - 在初級電流仍然施加時,斷開 DSUB 電纜後,即使我重新連接 DSUB 電纜(沒有改變初級電流),電流感測器也不再作動。
這是 Danisense 電流感測器的預期行為。由於缺乏電源供應,電流感測器暫時無法將磁芯中的磁通密度調節至接近 0。這也是這些電流感測器被稱為零磁通電流感測器的原因。如果初級電流未關閉,它會繼續產生磁場,進而在鐵芯中產生磁通。如果透過插入 DSUB 電纜使電流感測器恢復運作,綠色 LED 將保持熄滅,並且裝置將保持在故障狀態。這是因為在感測器開啟之前,磁通閘檢測器由於初級電流的存在而處於飽和狀態,因此感測器控制無法取消/消除磁芯內的磁場。後果可能是更大的偏移誤差/磁芯磁化。

為了再次達到指定的誤差值,只有在電流感測器的電源供應正常時才應開啟初級電流。這是保證不會發生鐵芯殘餘磁化的唯一方法。
如果在測試操作期間意外斷開電流感測器的 DSUB 電纜然後重新連接,則必須將初級電流設定為零。之後,電流感測器應該會再次如預期般工作。
22 - 當一次側電流超過規格書中指定的最大值超過1秒時,二次側輸出會降至0並保持在0,即使電流再次回到規格內。這種行為是正常的嗎?
是的。在手冊的第22頁,霍爾效應磁通門感測器的行為在第22頁有詳細解釋。電流感測器到時會再次正常工作。
23 - 為了能夠更好地測量小電流,我已經按照規格書的規定增加了測量電阻。但是,在測試間隔內,一次側電流已上升到滿量程值。電流感測器現在是否已損壞?
一般來說,如果您測量小的初級電流,您可以增加歐姆電阻。 在大多數規格書中,您可以找到圖2。

如果在使用高電阻負載電阻時,一次側電流上升,負載電阻上的電壓也會增加。當電壓到達某個程度時,感測器中的繼電器會關閉感測器,使其停止工作。
其機制是,當負載電阻上的高電壓接近直流霍爾電流感測器(DCCT)的供電電壓時,DCCT 內的運算放大器將無法提供更多電流,並且磁芯將退出零磁通操作,也就是說,磁通閘檢測器將會飽和。這將導致繼電器關閉感測器輸出。感測器本身應該不會損壞。
24 - 當啟動電源並感測到一次側電流時,我可以斷開 DSUB 連接線,並透過狀態位元偵測到連接線已斷開。當我重新連接(在不改變一次側電流的情況下),電流感測器持續顯示故障,且綠色 LED 燈一直保持熄滅。裝置會持續保持在故障狀態,直到我將感測到的一次側電流歸零。請問這是為何呢?
這是電流感測器的預期行為。原因是為了將感測器的偏移誤差保持在規格範圍內。 磁通閘檢測器處於飽和狀態,無法控制補償電流,因此繼電器觸點會閉合並短路繞組,以保護電子元件。
Reference: https://danisense.com/faq/
This article is published under the authorization of Danisense. The Chinese translation rights are held by VASTi Technologies co, ltd. All rights reserved.

